Yangın raporu hazırlamak için gereken adımlar basitleştirilerek; tasarım yangın eğrisinin oluşturulması (zaman-sıcaklık eğrisi), binanın boşaltılması için gereken sürenin hesaplanması, yapısal elemanlarda ısı dağılımının hesaplanması ve son olarak sıcaklıktan oluşan yüklerin yapısal elemanlara etki ettirilerek yapısal analizin tamamlanması şeklinde sıralanabilir. Bu adımlar şekil 1’de verilmiş olan akış şeması ile özetlenmiştir (Selamet, 2020). Yangın mühendisliği dersini başarıyla tamamlayan öğrenciler, derste sağlanan teorik bilgileri gerçek hayattaki vaka çalışmalarının tasarım uygulamaları ile birleştirebilmeli ve yangın stratejisi raporlarının nasıl yazılacağını öğrenmiş olmaları gerekir.
YANGIN BİLİMİ
Yangın, organik karbon esaslı bir malzemenin yanan malzemeye bağlı olarak ısı, karbondioksit, su buharı ve reaksiyon ürünleri açığa çıkaran ekzotermik kimyasal reaksiyonudur. Yangın bilimi yangın mühendisliğinin ilk sütunu olup; yangın karakteristiğini, yangın büyümesini ve yangının yayılımını inceler.
Yangın olayının gözlemlenebilmesi için bir eşyanın sıcaklığını tutuşma sıcaklığına getirecek bir dış ısı kaynağı gerekmektedir (Buchanan, 1999). Bu ısı kaynakları sigaralar, mumlar veya gaz ısıtıcıları olabilir. Tutuşmanın ardından, alev dış ısı kaynağına ihtiyaç duymadığı ana kadar büyümeye devam eder ve artık dış ısı kaynağına ihtiyaç duymadığı noktada kendi kendine yeten yangın seviyesine gelmiş olur. Yangından dolayı oluşan dumanlar tavanda birikmeye başlayarak kalın bir katman oluşturur ve tavanın sıcaklığı, bu sıcak havadan dolayı 600 OC’ye ulaştığında ani alevlenme olayı gerçekleşir. Ani alevlenme odada bulunan bütün yanıcı malzemelerin aynı anda yanmasıdır ve bu sıcaklık, ısı yayılım hızındaki artış da büyük bir ivmelenmeye yol açar. Ani alevlenmenin gerçekleştiği odada bulunan hiçbir insan hayatta kalamaz.
Yangın olayı şekil 2’de gösterilmiş olan sıcaklık zaman eğrisi ile özetlenebilir.
Yapı mühendisliğinde yük nesnelerin kütlesinden oluşmaktadır. Yangından dolayı oluşan yük ise binanın içerisinde bulunan yanıcı maddelerin enerji içeriğinden oluşmaktadır.
Yanıcı bir malzemenin enerji içeriğini (E) hesaplamak için kütlesine (M) ve kg başına açığa çıkardığı enerji miktarına (ΔHc) ihtiyaç vardır. Denklem 1 ile yanıcı malzemenin enerjisi hesaplanır ve yangının bulunduğu kompartımanın taban alanına (Af) bölünerek, denklem 2 ile yangın yükü hesaplanır.
Isı yayılım hızı yangının süresini ve büyümesini belirleyen karakteristik bir özelliktir. Her yanıcı malzeme farklı bir ısı yayılım hızına sahiptir. Genelde, bir yangın bölgesinde kompartımanda bulunan bütün yanıcı malzemelerin ısı yayılım hızları toplanarak kompartımanın ısı yayılım hızının yaklaşık değeri hesaplanır. Isı yayılım hızı bir yangın için bilinmesi gereken en önemli değişkendir (Babrauskas ve Peacock, 1992).
Kompartıman yangınları konutlarda oluşan yangınlardır. Burada ısı yayılım hızı yanan malzemelerle birlikte kompartımanın açıklıklarına (camlar, kapılar vb.) ve tavanda biriken sıcak gazlardan radyasyon ile yayılan ısıya da bağlıdır. Kompartıman yangınlarının hesapları diferansiyel denklemler yardımı ile yapılmaktadır ve bu denklemler nümerik yöntemler ile çözülmektedir. En sık kullanılan programlar CFAST ve OZone (Peacock vd., 1993) programlarıdır.
Isı Transferi
Yangın anında, malzeme içerisindeki enerji değişimi malzemenin sıcaklığının artmasına yol açar. Bu enerji değişimi yangından açığa çıkan ısının malzemeye kondüksiyon, konveksiyon ve radyasyon ile transferi sonucunda oluşur. Isı, yapısal malzemede iletim yoluyla aktarılır ve Fourier tarafından geliştirilen 2. dereceden kısmi diferansiyel denklem tarafından yönetilir. Burada ısı sıcak taraftan soğuk tarafa doğru aktarılır ve bu olaya kondüksiyon denir. Konveksiyon, yapısal malzemenin yüzeyi ile çevreleyen gaz (örnek olarak ateş) arasındaki ısı transferidir ve Newton’un Soğutma Yasası’na tabidir. Sıcaklık farkı yangın (Tf) ile yapı malzemesi arasında ısı alışverişine neden olur ve birim alan başına ısı akışı q (W/m2) denklem 3 ile hesaplanır. Burada h (W/m2K) konvektif ısı transfer katsayısıdır ve genellikle yangına maruz kalan yapı elemanlarının çoğu için 25 W/m2K olarak alınır (Eurocode 3, 2005).
Denklem 3 q=h (Tf-T)
Radyasyon, yangın (sıcak gaz) ile yapısal malzeme arasındaki veya bazen iki yapısal malzeme arasındaki ısı transferidir. Isı, elektromanyetik dalgalar ile aktarılır (Buchanan,1999). Radyasyon, yangın mühendisliği için en önemli ısı transfer sürecidir, çünkü yüksek sıcaklıklarda radyasyon diğer ısı transfer modlarına göre daha baskındır. Radyasyon yoluyla ısı akışı, sıcaklığın Kelvin cinsinden olduğu Denklem 4 ile hesaplanır. Burada, σ 5.67x10-8 W/ m2K4’tür (Stefan-Boltzmann sabiti) ve ε açığa çıkan yayılımdır. Nihai salım gücü, çelik ve beton malzemeler için ε = 0,7 olarak kabul edilir (Eurocode 3, 2005; Eurocode 2, 2004).
Denklem 4 q= ε σ (Tf4-T4)
Yapısal eleman içindeki sıcaklık dağılımının hesaplanması analitik olarak zahmetlidir ve sayısal olarak bilgisayar kapsamındadır. Sadece yapısal elemanın ortalama sıcaklığı aranıyorsa, hesaplama, yapısal elemanın yangına maruz kalan yüzeyinden (Am) birim zamanda ısı alan (Q) tek bir nokta olarak görüldüğü “Toplu Kütle Yöntemi” kullanılarak basitleştirilebilir. Denklem 5, yapısal elemanın alan ve birim zaman başına ısı alımını göstermektedir (Selamet, 2020). Isı alımı, yapısal elemanın sıcaklığının denklem 6’ya göre artmasına neden olur. Burada V yapısal kesitin hacmi, Am yangına maruz kalan yüzeydir ve Am/V kesit faktörü olarak adlandırılır. Her Δt adımında sıcaklık artışı ΔT hesaplanır. Şekil 3, bu idealleştirmeyi göstermektedir. Toplu kütle yöntemi çelik ve diğer yüksek iletken yapı malzemeleri için daha uygundur. Beton malzeme için, kesitsel sıcaklık dağılımı önemli ölçüde değişecektir ve bu nedenle ortalama bir sıcaklığın hesaplanması yeterli olmayabilir.

Yapıların Termomekanik Analizi
Yangın mühendisliği hesaplarında önce yangın senaryosunun tasarlanması, ardından ortalama sıcaklık artışını ve yapısal elemanların enine kesitindeki sıcaklık dağılımının tahmin edilmesi ve son olarak, yapısal sistemin yangına maruz kalması nedeniyle oluşan yangına bağlı kuvvetleri ve momentleri hesaplamaktır .
Yangına bağlı kuvvetlerin ve momentlerin hesaplanmasında ortalama sıcaklık artışı ve enkesit sıcaklık dağılımı etkilidir. Yapısal bir elemanın enkesitindeki sıcaklık sabit kalır, ya da sıcaklık dağılımı değişkenlik gösterebilir. Değişken enkesit sıcaklık dağılımında yapı elemanı sadece uzamaz, ayrıca eğilir ve bazı durumlarda yapı elemanı boyunca moment oluşur.
Yapıların içerisinde bulunan yapısal elemanlardaki mesnet uçları elastik yaylar ile hem dönme hem de eksenel yönde kısıtlanmış olarak gösterilebilir.
Şekil 4, her iki uçta hem eksenel (ks1 ve ks2) hem de dönme (kr1 ve kr2) elastik yaylarla yapı sistemi içindeki bir kolon elemanını göstermektedir. Burada birkaç varsayım vardır: Malzeme davranışı doğrusal elastik düzeydedir. Ayrıca, ikinci mertebe etkilerinin (P-Δ) olmadığı varsayılır. Son olarak, yapı elemanının kapasiteyi etkileyecek kadar deformasyona maruz kalmadığı varsayılır.
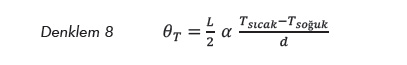
Kolondaki eksenel kuvvet P aşağıdaki şekilde hesaplanır, burada EA/ L, yapısal elemanın eksenel rijitliğidir
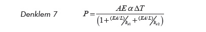
Kolon, mesnet uçlarında dönme yönünde serbest ise mesnet uçları dönmeye maruz kalır, kolon eğilir ama moment oluşmaz. Mesnet uçlarındaki dönme θT olarak adlandırılır (Denklem 8).
Burada d, kolonun enkesit yüksekliği ve a ise ısıl genleşme katsayısıdır.
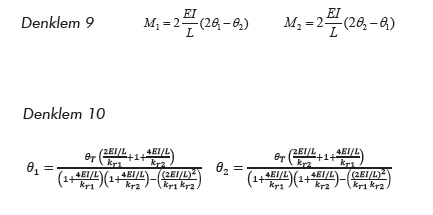
Kolon mesnet uçlarında elastik yaylar dönmeyi kısıtlıyor ise kolon uç momentleri M1 ve M2 (Denklem 9), mesnet uçlarındaki dönme θ1 ve θ2 olur (Denklem 10).
Şimdiye kadar anlatılan kısım, eksenel ve dönme kısıtlamaları olan bir yapı elemanında eksenel kuvvet ve moment talebini hesap etmeye yaramaktadır. Yangının tüm yapı üzerindeki etkisini tahmin etmek için sonlu elemanlar yöntemi kullanılarak yapı sisteminin termo-mekanik analizinin yapılması gerekir. Bu tür bir analiz basit el hesaplamaları ile mümkün değildir, bu yüzden Abaqus ve Ansys gibi ticari yazılımlar kullanılabilir.
SONUÇ
Bu makale, yangın büyümesi ve ısı transferinden yapısal yangın tasarımına kadar yangın mühendisliği prensipleri için temel teorik bilgilerin çoğunu kapsayan bir yangın mühendisliği tasarım dersinin çerçevesini vermektedir. Yangın danışmanlığı yapabilmek için güçlü bir akademik alt yapının gerekliliği gösterilmiştir ve bu kavramları iyi anlamadan Türkiye’de yangın mühendisliği uygulamasının gelişmesi zordur